| Troisième
|
| Algèbre
|
| Systèmes d'équations
|
Considérons le système de deux équations à deux inconnues suivant :

Résolution par substitution
Cette est la plus longue et la plus calculatoire. Cependant, c'est aussi celle qui marche "tout le temps".
Exprimer une des deux inconnues (par exemple y) en fonction de la seconde dans l'une des deux équations (exemple L1):
L1: 3x-y=1 équivaut à ?y=1-3x équivaut à y=3x-1
Remplacer l'expression trouvée précédemment dans la deuxième équation (L2): L2: 6x-3(3x-1)=-3 équivaut à 6x-9x+3=-3 équivaut à ?3x=-6 équivaut à x=2.
Trouver la valeur de la première inconnue (y) grâce à la valeur de la seconde trouvée plus haut: y=3x-1=5 équivaut à y=5.
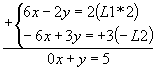
Résolution par élimination
On peut multiplier par un nombre positif ou négatif toute équation d'un système.
Ici on va faire 2L1-L2, le système devient:

On additionne les deux équations et on élimine ainsi une des deux inconnues. On trouve donc y=5
On trouve la valeur de la deuxième inconnue en résolvant une des deux équations, par exemple L1:
3x-y=1 équivaut à 3x-5=1 équivaut à x=2.
Retour
|
|
|