| Classes préparatoires
|
| Analyse
|
| Suite et série de fonctions
|
I] Suites de fonctions
Définitions
Une suite de fonctions est une application de N vers N.
Fn converge simplement vers f si et seulement si 
sur I, 
sur I, 
Méthode pour l'étude:
- Si pas de CS alors c'est terminé.
- Si on peut trouver une suite
telle que fn(xn)-f(xn) ne converge pas vers 0, alors pas de CVU.
- Sinon on étudie
et on cherche . Si alors gagné.
Propriétés de la convergence uniforme
Théorèmes:
- Fn définies sur I, si
et fn continues, alors f continue.
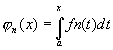
- Fn définies sur I=[a,b], si
et fn continues alors en posant et , on a 
- Fn définies sur I et
si , si alors et f'=g.
Propriété: , suite CVS définies sur I. S'il existe une suite Un convergeant vers 0 telle que : alors il y a CVU.
II] Séries de fonctions
Définitions
: posons : c'est une somme de fonctions: si a une limite f, c'est: 
CV CV (cv normale implique cv absolue) et 
Théorèmes
- Si on a CVN, on a CVA et donc CVU.
- Si les fn sont continues, la série CVU, alors la somme de la série est continue.
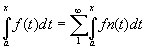
- Fn continues sur [a,b],
CVU on a d'où 
alors en particulier si CVN.
Retour
|
|
|