| Classes préparatoires
|
| Analyse
|
| Suites spécifiques
|
I] Suites récurrentes linéaires d'ordre deux du type Un+2=aUn+1+bUn
Equation caractéristique: avec r non nul.
On a deux racines, 
et sont déterminés par les deux premiers termes de la suite:

Remarque: si l'équation caractéristique a une racine double, les suites sont et au lieu de et alors:

Suites récurrentes affines du types
Si b=0 on a une suite arithmético géométrique
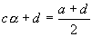
1/ Si a+b=1 et a différent de 2 alors on pose  2/ Si a=2, b=-1 alors on pose  1/ donne les racines de l'équation caractéristique sont 1 et ?b=a-1 donc les racines sont différentes et les suites sont du type  2/ donne l'équation caractéristique qui admet 1 pour racine double. Les suites sont donc 
II] Les suites arithmético géométriques
Arithmétiques
donc Somme: 
converge si et seulement si b=0
Géométriques
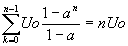
donc Somme: si a=1
Un converge si et seulement si , si alors et 
Arithmético géométriques:
si a est différent de 1 on pose et est géométrique de raison a. On pose et 
III] Suites homographiques
Du type avec 
On pose 
- Soit
une racine de l'équation. Si alors Un et constante.
- Si
deux racines de l'équation: on pose , c'est une suite géométrique et 
- Si une racine double
c'est une suite géométrique et 
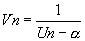
- On a
et , et Vn définie pour tout tel que 
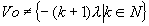
- Si deux racines distinctes et
on pose . Il faut que 
- Si une racine double et
. On pose , il faut que .
Retour
|
|
|