| Les sujets "zéro" du baccalauréat
|
| Série ES
|
| Exercice 9 (enseignement de spécialité)
|
Enoncé
La courbe ci-dessous est une partie de la courbe représentative de la fonction qui à x associe dans un repère orthonormal.
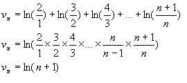
 1- Déterminer la valeur exacte de l'aire du domaine hachuré. 2- Soit n un entier naturel strictement positif. On considère l'aire du domaine situé entre les droites d'équations ,, l'axe des abscisses et la courbe C. a) Montrer que . b) Quelle est la limite de la suite ? 3- On pose la somme de tous les termes de la suite de à . a) Déterminer un domaine plan dont l'aire est égale à . b) Exprimer en fonction de n. c) Quelle est la limite de la suite ?
Solution
1- L'aire du domaine hachuré est en unités d'aire . Une primitive sur de la fonction qui à x associe est la fonction logarithme népérien, donc . 2- a) b) , donc 3- a) est l'aire du domaine situé entre les droites d'équations et , l'axe des abscisses et la courbe C. b) c)
Retour
|
|
|